The tractive force is the reasultant unbalanced force due to the twi cylinders along the line of stroke. The unbalanced portion of the primary force which along the line of stroke causes the variation in the tractive force or effect. Let C is the friction of reciprocating masses that is balanced. Let the crank for the first cylinder be inclined at an angle θ with the line of stroke, as shown in Fig., Since the crank for the second cylinder is at right angle to the first crank, therefore the angle of inclination for the second crank will be (90° + θ).
Let m = Mass of the reciprocating parts per cylinder, and
C = Fraction of the reciprocating parts to be balanced.
We know that unbalanced force along the line of stroke for cylinder 1,
Similarly, unbalanced force along the line of stroke for cylinder 2,
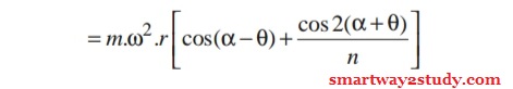
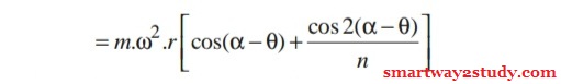
As per defination the tractive force,
FT = Resultant unbalanced force along the line of stroke,
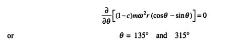
The tractive force is maximum or minimum when (cos θ - sin θ) is maximum or minimum.
For (cos θ - sin θ) to be maximum or minimum.





















































































